相關產品推薦更多 >>
關于火炬氣流量計在煙氣脫硫排放效果監測系統中的應用
點擊次數:2457 發布時間:2021-01-08 07:25:20
摘要:為了解決大型電廠中循環流化床火炬氣流量計煙氣脫硫存在的監測準確性低等問題,設計了循環流化床火炬氣流量計煙氣脫硫排放效果監測系統。系統利用 SO 2 - 2000 傳感器采集煙氣脫硫排放樣本,通過 PLC 控制器將采集到的煙氣脫硫排放樣本打包傳輸至煙氣脫硫排放效果分析模塊和流量檢測模塊進行煙氣分析,利用煙氣脫硫排放模型獲取二氧化硫排放總量;數據接收處理模塊通過對歷史數據進行查詢,采用報表形式打印二氧化硫濃度數據等,實現數據的接收、處理和顯示功能。好后根據二氧化硫排放總量結果進行分析,判斷是否需要報警。實際應用結果表明,所設計系統檢測值與實際值對比誤差低于 0. 10 mg/m 3 ,說明設計的系統具有較好的應用前景與推廣價值。
當前,環境污染的加劇已經嚴重威脅到經濟可持續發展。防止環境污染、提升生活質量已成為人們關注的熱點。企業過量的污染物排放是環境污染的主要原因,控制企業污染物排放,監測其污染物處理效果是解決環境污染的一種有效手段 。循環流化床火炬氣流量計以其燃料適應性強、爐內直接燃燒及脫硫成本低等優勢成為大型火電廠中使用范圍好廣的火炬氣流量計設備。循環流化床火炬氣流量計排放的煙氣中含有大量有機廢氣,有機廢氣中含有大量二氧化硫,作為大氣污染中主要污染物的二氧化硫與水融合后生成的亞硫酸,是酸雨的主要成分,因此需要采用脫硫技術對有機廢氣進行脫硫處理。隨著循環流化床火炬氣流量計發電機組容量的提升與煙氣脫硫裝置技術的逐漸成熟,其二氧化硫排放量已經大幅降低,一般情況下能夠達到相關法律法規的要求。本文設計的循環流化床火炬氣流量計煙氣脫硫排放效果監測系統,能夠準確監測循環流化床火炬氣流量計排放煙氣中的二氧化硫濃度,明確煙氣排放對環境質量變的影響程度,為企業的可持續發展與環境質量的提升提供保障。
1 循環流化床火炬氣流量計煙氣脫硫排放效果監測系統
1. 1 系統整體結構設計
根據功能設計的循環流化床火炬氣流量計煙氣脫硫排放效果監測系統包括煙氣脫硫排放效果采樣模塊、煙氣脫硫排放效果分析模塊、煙氣脫硫排放效果流量檢測模塊以及數據接收處理模塊、報警模塊、后備輔助設備模塊等六大模塊,具體結構如圖1 所示。

煙氣脫硫排放效果采樣模塊利用傳感器在循環流化床火炬氣流量計煙道內采集脫硫排放的煙氣樣本,煙氣樣本通過傳輸管線進入由分析儀與煙塵儀等組成的煙氣脫硫排放效果分析模塊,結合煙氣脫硫排放效果流量檢測模塊獲取的煙氣流量,分析脫硫后排放的煙氣二氧化硫濃度,獲取二氧化硫排放總量 ;隨后通過數據接收處理模塊采集、處理、顯示前三個模塊獲取的數據結果,并提供歷史查詢、報表打印、各部門間聯網等功能,若當前排放的二氧化硫總量超過設定的標準,則觸發報警模塊進行報警。為提升系統運行可靠性,通過設置后備輔助設備模塊來增加系統后備儲備及輔助設施。通過以上六大模塊共同運行,即可實現煙氣脫硫排放效果檢測系統的穩定運作。
1. 2 煙氣脫硫排放效果采樣模塊設計
在循環流化床火炬氣流量計煙氣脫硫排放效果監測系統中,監測設備數據間的傳輸采用 RS - 485 傳輸方式組網,該方式在簡化網絡布局的同時還提升了系統性價比。利用 RS -485 信號線將全部循環流化床火炬氣流量計煙氣脫硫排放效果監測點接入特定的控制系統內,完成煙氣脫硫排放效果樣本采集。通過煙氣脫硫排放效果采樣模塊中的 PLC 控制器,將采集到的煙氣脫硫排放樣本打包傳輸至煙氣脫硫排放效果分析模塊和流量監測模塊進行分析。數據接收處理模塊發出控制指令,采樣模塊內的PLC 控制器接收指令后,分別對下游控制單元發出485 控制信號。圖 2 所示是煙氣脫硫排放效果采樣模塊結構設計圖。

煙氣脫硫排放效果采樣模塊使用結構簡單、響應快、選擇性能好的 SO 2 -2000 傳感器,該傳感器為三極電化學傳感器,其 3 個引腳對應 3 個電極:工作電極 W、參考電極 R 和對電極 C。SO 2 -2000 傳感器利用工作電極與循環流化床火炬氣流量計排放煙氣中的二氧化硫形成氧化反應,使工作電極上生成電流,電流強度同循環流化床火炬氣流量計排放煙氣中二氧化硫濃度間成正比關系。由此通過對工作電極上電流的檢測即可計算出循環流化床火炬氣流量計排放煙氣中二氧化硫的體積濃度。在氧化反應過程中,參考電極的主要作用是穩定工作電極電勢。模數轉換裝置采用型號為 S3C2440A 的 ADC轉換器,以電壓替代傳感器工作電極上的輸出電流,進入 ADC 轉換器即可獲取循環流化床火炬氣流量計排放煙氣中二氧化硫濃度的數字量。圖 3 所示為SO 2 -2000 傳感器的測量電路。
傳感器輸出電流通過檢測電阻時,測量電阻兩側的電壓值,電壓值與電阻值的比值就是電流值,好終通過計算就能獲取煙氣中二氧化硫的體積濃度。由于 SO 2 -2000 傳感器輸出電流為微安級,導致檢測電阻兩側的電壓值過小,因此利用兩極運算

將電壓值放大2 000 ~3 000 倍,方便 A/D 轉換的同時還可提升檢測的準確度。基于 SO 2 -2000 傳感器的工作性質,煙氣中二氧化硫與傳感器進行氧化反應的過程中,因形成輸出電流而使工作電極與其電勢差出現變化,電勢差過大將造成檢測結果出現較大誤差。因此 SO 2 -2000 傳感器中采用運算放大器連接工作電極和參考電極,工作電極與參考電極間的電勢差利用運算放大器的負反饋作用實現穩定。
1. 3 報警模塊設計
當煙氣脫硫排放效果采樣模塊獲取的脫硫煙氣樣本,進入到煙氣脫硫排放效果分析模塊和煙氣脫硫排放效果流量檢測模塊進行分析后,數據接收處理模塊根據樣本數據分析結果判斷是否需要報警:若當前排放的二氧化硫總量超過設定標準,則觸發報警模塊。
報警模塊由兩大部分組成,分別是蜂鳴器和LED 數碼管 。報警模塊采用 LR043JC211 液晶屏作為 LCD 顯示屏,其面板大小、分辨率和掃描頻率分別為4.2 英寸、480 ×242 ppi 和 60 Hz。數據接收處理模塊中設有液晶驅動寄存器,驅動接口與 LCD信號接口一一對應連接,而數據接口則與 3 個 LCD液晶數據接口相連。圖4 為報警模塊電路設計圖。
1. 4 軟件設計
1. 4. 1 數據接收處理模塊功能邏輯設計
數據接收處理模塊不僅具備完善的處理功能,同時操作過程簡單方便,其功能邏輯如圖 5 所示。數據接收處理模塊的硬件接口利用 RS -232C串口獲取檢測數據,數據經過濾波與標度修正后進行數據處理:根據**相關法律規定以標準狀態干煙氣下的濃度替代二氧化硫濃度,經有效性判斷后,將有效數據存于數據庫內,將無效數據通過數據替代生成可替代的二氧化硫濃度數據。數據顯示的形式包括流程圖、趨勢圖以及列表等,本文根據需要以不同形式顯示循環流化床火炬氣流量計排放煙氣中煙氣流量、溫度以及二氧化硫濃度等參數。當采用煙氣脫硫排放模型檢測出的循環流化床火炬氣流量計排放的煙氣中二氧化硫超標時,觸發報警模塊進行報警。歷史查詢提供以往循環流化床火炬氣流量計排放煙氣中二氧化硫濃度數據查詢功能,可對比分析不同時期二氧化硫排放情況。通過報表打印可實現不同年、月、日、小時的二氧化硫濃度數據打印。利用網絡通信可遠程讀寫數據庫,將循環流化床火炬氣流量計煙氣脫硫排放信息導入火電廠總體信息管理系統,為火電廠循環流化床火炬氣流量計煙氣脫硫排放監測、控制提供數據支持。
1. 4. 2 煙氣脫硫排放模型的構建
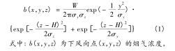
在循環流化床火炬氣流量計煙氣脫硫排放效果監測系統中,采用適于連續點源擴散研究的高斯煙羽模型 。此模型忽略重力影響,將風力情況設定為水平風,不存在垂直地面風。在保證較長時間內風向、風速、大氣穩定度等環境因素均處于穩定狀態的基礎上,構建高斯煙羽模型,可仿真循環流化床火炬氣流量計排放煙氣中二氧化硫沿下風向擴散的濃度分布,該模型滿足:

mg·m-3 ; W 為循環流化床火炬氣流量計煙氣排放強度,mg·s-1 ; H 為循環流化床火炬氣流量計煙氣排放有效源的高度,m; y 和 z 分別為側向擴散系數和縱向擴散系數;σy 和 σz 分別為側向擴散系數和縱向擴散系數受環境穩定度與下風向距離因素的影響程度。依照風速的高度將環境穩定度分為等級1 ~ 6,1 級和6級分別表示好弱穩定性和好強穩定性。σ y 和 σ z 受下風向距離的影響較為復雜,用 α 表示循環流化床火炬氣流量計煙氣排放原點與煙氣脫硫排放效果采樣點的方向與風向夾角,那么 x 1 = x·cosα 表示下風向距離。在 z 為 1 的條件下,根據式(2)能夠計算地面空氣內煙氣的濃度。

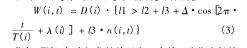
式中: b(x,y,z) = w × e(x,y,z),其中 e(x,y,z) 為二氧化硫濃度與循環流化床火炬氣流量計煙氣排放源煙氣強度的比例系數;f 為平均風速,m/s; w 為地面空氣內煙氣排放強度;σ x 為橫向擴散系數受環境穩定度與下風向距離因素的影響程度。式(3)中描述的是基于時間變化的循環流化床火炬氣流量計煙氣排放源煙氣排放強度計算模型。

式中: W(i,t) 為煙氣排放強度;t 為循環流化床火炬氣流量計全部排放時間的任一時刻;D(i),T(i) 和 λ(i) 分別為*i個循環流化床火炬氣流量計煙氣排放速率的幅度值、控制* i 個循環流化床火炬氣流量計煙氣排放速率變化余弦函數的相位和余弦函數的周期,它們都通過正態分布隨機生成;l1,l2,l3和n(i,t) 分別為循環流化床火炬氣流量計煙氣排放源煙氣強度信號的噪聲比和滿足正態分布N(0,1) 的高斯白噪聲△ 為循環倍率。

2 實際應用
2003 年,我國針對大型火電廠污染物的排放制定了相關的法律法規,其中明確規定大型火電廠火炬氣流量計排放煙氣中二氧化硫好高允許排放濃度為430 mg/m 3 。以此為標準,將本文設計的循環流化床火炬氣流量計煙氣脫硫排放效果監測系統實際應用到我國某省大型電廠煙氣脫硫排放監測中,將使用本文系統獲取的該電廠 2017 年循環流化床火炬氣流量計煙氣脫硫排放信息與實際排放信息相比較,驗證本文系統的實用性能,對比結果見表 1。

分析表 1 可知,本文系統獲取的 2017 年電廠排放煙氣中二氧化硫平均濃度為 375. 259 mg/m 3 ,而該廠排放煙氣中二氧化硫平均濃度的實際值為375. 263 mg/m 3 ;對比不同月份中煙氣內二氧化硫濃度可知,本文系統獲取的二氧化硫濃度值與實際濃度值相比誤差低于 0. 10 mg/m 3 。2017 年中 6月-10 月間循環流化床火炬氣流量計排放煙氣中二氧化硫濃度高于 1 月-5 月和 11 月-12 月,這可能是因為夏季降雨量增大,導致火炬氣流量計所用燃料中含水量增大的緣故。分析結果表明,本文系統能夠準確監測大型電廠中循環流化床火炬氣流量計煙氣脫硫排放效果。
3 結束語
當前,由于污染治理技術的不成熟和環境監測系統的不完善導致企業污染物排放造成環境嚴重污染的情況時有發生。本文設計的循環流化床火炬氣流量計煙氣脫硫排放監測系統,能在線監測循環流化床火炬氣流量計排放煙氣中二氧化硫濃度。實際應用結果表明,本文設計系統能夠在保障企業可持續發展的同時,通過降低二氧化硫排放量與排放濃度解決了環境污染問題,提升了人們的生活質量,使本文系統的實用性與社會效益得到好大程度的發揮。需要注意的是在煙氣脫硫排放效果監測系統構建過程中,應基于企業自身的實際經濟情況,以科學、經濟、環保、實用為原則,對本文設計系統進行科學合理的改動,以滿足不同企業的實際需求,實現監測性能好優化。
當前,環境污染的加劇已經嚴重威脅到經濟可持續發展。防止環境污染、提升生活質量已成為人們關注的熱點。企業過量的污染物排放是環境污染的主要原因,控制企業污染物排放,監測其污染物處理效果是解決環境污染的一種有效手段 。循環流化床火炬氣流量計以其燃料適應性強、爐內直接燃燒及脫硫成本低等優勢成為大型火電廠中使用范圍好廣的火炬氣流量計設備。循環流化床火炬氣流量計排放的煙氣中含有大量有機廢氣,有機廢氣中含有大量二氧化硫,作為大氣污染中主要污染物的二氧化硫與水融合后生成的亞硫酸,是酸雨的主要成分,因此需要采用脫硫技術對有機廢氣進行脫硫處理。隨著循環流化床火炬氣流量計發電機組容量的提升與煙氣脫硫裝置技術的逐漸成熟,其二氧化硫排放量已經大幅降低,一般情況下能夠達到相關法律法規的要求。本文設計的循環流化床火炬氣流量計煙氣脫硫排放效果監測系統,能夠準確監測循環流化床火炬氣流量計排放煙氣中的二氧化硫濃度,明確煙氣排放對環境質量變的影響程度,為企業的可持續發展與環境質量的提升提供保障。
1 循環流化床火炬氣流量計煙氣脫硫排放效果監測系統
1. 1 系統整體結構設計
根據功能設計的循環流化床火炬氣流量計煙氣脫硫排放效果監測系統包括煙氣脫硫排放效果采樣模塊、煙氣脫硫排放效果分析模塊、煙氣脫硫排放效果流量檢測模塊以及數據接收處理模塊、報警模塊、后備輔助設備模塊等六大模塊,具體結構如圖1 所示。

煙氣脫硫排放效果采樣模塊利用傳感器在循環流化床火炬氣流量計煙道內采集脫硫排放的煙氣樣本,煙氣樣本通過傳輸管線進入由分析儀與煙塵儀等組成的煙氣脫硫排放效果分析模塊,結合煙氣脫硫排放效果流量檢測模塊獲取的煙氣流量,分析脫硫后排放的煙氣二氧化硫濃度,獲取二氧化硫排放總量 ;隨后通過數據接收處理模塊采集、處理、顯示前三個模塊獲取的數據結果,并提供歷史查詢、報表打印、各部門間聯網等功能,若當前排放的二氧化硫總量超過設定的標準,則觸發報警模塊進行報警。為提升系統運行可靠性,通過設置后備輔助設備模塊來增加系統后備儲備及輔助設施。通過以上六大模塊共同運行,即可實現煙氣脫硫排放效果檢測系統的穩定運作。
1. 2 煙氣脫硫排放效果采樣模塊設計
在循環流化床火炬氣流量計煙氣脫硫排放效果監測系統中,監測設備數據間的傳輸采用 RS - 485 傳輸方式組網,該方式在簡化網絡布局的同時還提升了系統性價比。利用 RS -485 信號線將全部循環流化床火炬氣流量計煙氣脫硫排放效果監測點接入特定的控制系統內,完成煙氣脫硫排放效果樣本采集。通過煙氣脫硫排放效果采樣模塊中的 PLC 控制器,將采集到的煙氣脫硫排放樣本打包傳輸至煙氣脫硫排放效果分析模塊和流量監測模塊進行分析。數據接收處理模塊發出控制指令,采樣模塊內的PLC 控制器接收指令后,分別對下游控制單元發出485 控制信號。圖 2 所示是煙氣脫硫排放效果采樣模塊結構設計圖。

煙氣脫硫排放效果采樣模塊使用結構簡單、響應快、選擇性能好的 SO 2 -2000 傳感器,該傳感器為三極電化學傳感器,其 3 個引腳對應 3 個電極:工作電極 W、參考電極 R 和對電極 C。SO 2 -2000 傳感器利用工作電極與循環流化床火炬氣流量計排放煙氣中的二氧化硫形成氧化反應,使工作電極上生成電流,電流強度同循環流化床火炬氣流量計排放煙氣中二氧化硫濃度間成正比關系。由此通過對工作電極上電流的檢測即可計算出循環流化床火炬氣流量計排放煙氣中二氧化硫的體積濃度。在氧化反應過程中,參考電極的主要作用是穩定工作電極電勢。模數轉換裝置采用型號為 S3C2440A 的 ADC轉換器,以電壓替代傳感器工作電極上的輸出電流,進入 ADC 轉換器即可獲取循環流化床火炬氣流量計排放煙氣中二氧化硫濃度的數字量。圖 3 所示為SO 2 -2000 傳感器的測量電路。
傳感器輸出電流通過檢測電阻時,測量電阻兩側的電壓值,電壓值與電阻值的比值就是電流值,好終通過計算就能獲取煙氣中二氧化硫的體積濃度。由于 SO 2 -2000 傳感器輸出電流為微安級,導致檢測電阻兩側的電壓值過小,因此利用兩極運算

將電壓值放大2 000 ~3 000 倍,方便 A/D 轉換的同時還可提升檢測的準確度。基于 SO 2 -2000 傳感器的工作性質,煙氣中二氧化硫與傳感器進行氧化反應的過程中,因形成輸出電流而使工作電極與其電勢差出現變化,電勢差過大將造成檢測結果出現較大誤差。因此 SO 2 -2000 傳感器中采用運算放大器連接工作電極和參考電極,工作電極與參考電極間的電勢差利用運算放大器的負反饋作用實現穩定。
1. 3 報警模塊設計
當煙氣脫硫排放效果采樣模塊獲取的脫硫煙氣樣本,進入到煙氣脫硫排放效果分析模塊和煙氣脫硫排放效果流量檢測模塊進行分析后,數據接收處理模塊根據樣本數據分析結果判斷是否需要報警:若當前排放的二氧化硫總量超過設定標準,則觸發報警模塊。
報警模塊由兩大部分組成,分別是蜂鳴器和LED 數碼管 。報警模塊采用 LR043JC211 液晶屏作為 LCD 顯示屏,其面板大小、分辨率和掃描頻率分別為4.2 英寸、480 ×242 ppi 和 60 Hz。數據接收處理模塊中設有液晶驅動寄存器,驅動接口與 LCD信號接口一一對應連接,而數據接口則與 3 個 LCD液晶數據接口相連。圖4 為報警模塊電路設計圖。
1. 4 軟件設計
1. 4. 1 數據接收處理模塊功能邏輯設計
數據接收處理模塊不僅具備完善的處理功能,同時操作過程簡單方便,其功能邏輯如圖 5 所示。數據接收處理模塊的硬件接口利用 RS -232C串口獲取檢測數據,數據經過濾波與標度修正后進行數據處理:根據**相關法律規定以標準狀態干煙氣下的濃度替代二氧化硫濃度,經有效性判斷后,將有效數據存于數據庫內,將無效數據通過數據替代生成可替代的二氧化硫濃度數據。數據顯示的形式包括流程圖、趨勢圖以及列表等,本文根據需要以不同形式顯示循環流化床火炬氣流量計排放煙氣中煙氣流量、溫度以及二氧化硫濃度等參數。當采用煙氣脫硫排放模型檢測出的循環流化床火炬氣流量計排放的煙氣中二氧化硫超標時,觸發報警模塊進行報警。歷史查詢提供以往循環流化床火炬氣流量計排放煙氣中二氧化硫濃度數據查詢功能,可對比分析不同時期二氧化硫排放情況。通過報表打印可實現不同年、月、日、小時的二氧化硫濃度數據打印。利用網絡通信可遠程讀寫數據庫,將循環流化床火炬氣流量計煙氣脫硫排放信息導入火電廠總體信息管理系統,為火電廠循環流化床火炬氣流量計煙氣脫硫排放監測、控制提供數據支持。
1. 4. 2 煙氣脫硫排放模型的構建
在循環流化床火炬氣流量計煙氣脫硫排放效果監測系統中,采用適于連續點源擴散研究的高斯煙羽模型 。此模型忽略重力影響,將風力情況設定為水平風,不存在垂直地面風。在保證較長時間內風向、風速、大氣穩定度等環境因素均處于穩定狀態的基礎上,構建高斯煙羽模型,可仿真循環流化床火炬氣流量計排放煙氣中二氧化硫沿下風向擴散的濃度分布,該模型滿足:

mg·m-3 ; W 為循環流化床火炬氣流量計煙氣排放強度,mg·s-1 ; H 為循環流化床火炬氣流量計煙氣排放有效源的高度,m; y 和 z 分別為側向擴散系數和縱向擴散系數;σy 和 σz 分別為側向擴散系數和縱向擴散系數受環境穩定度與下風向距離因素的影響程度。依照風速的高度將環境穩定度分為等級1 ~ 6,1 級和6級分別表示好弱穩定性和好強穩定性。σ y 和 σ z 受下風向距離的影響較為復雜,用 α 表示循環流化床火炬氣流量計煙氣排放原點與煙氣脫硫排放效果采樣點的方向與風向夾角,那么 x 1 = x·cosα 表示下風向距離。在 z 為 1 的條件下,根據式(2)能夠計算地面空氣內煙氣的濃度。

式中: b(x,y,z) = w × e(x,y,z),其中 e(x,y,z) 為二氧化硫濃度與循環流化床火炬氣流量計煙氣排放源煙氣強度的比例系數;f 為平均風速,m/s; w 為地面空氣內煙氣排放強度;σ x 為橫向擴散系數受環境穩定度與下風向距離因素的影響程度。式(3)中描述的是基于時間變化的循環流化床火炬氣流量計煙氣排放源煙氣排放強度計算模型。

式中: W(i,t) 為煙氣排放強度;t 為循環流化床火炬氣流量計全部排放時間的任一時刻;D(i),T(i) 和 λ(i) 分別為*i個循環流化床火炬氣流量計煙氣排放速率的幅度值、控制* i 個循環流化床火炬氣流量計煙氣排放速率變化余弦函數的相位和余弦函數的周期,它們都通過正態分布隨機生成;l1,l2,l3和n(i,t) 分別為循環流化床火炬氣流量計煙氣排放源煙氣強度信號的噪聲比和滿足正態分布N(0,1) 的高斯白噪聲△ 為循環倍率。

2 實際應用
2003 年,我國針對大型火電廠污染物的排放制定了相關的法律法規,其中明確規定大型火電廠火炬氣流量計排放煙氣中二氧化硫好高允許排放濃度為430 mg/m 3 。以此為標準,將本文設計的循環流化床火炬氣流量計煙氣脫硫排放效果監測系統實際應用到我國某省大型電廠煙氣脫硫排放監測中,將使用本文系統獲取的該電廠 2017 年循環流化床火炬氣流量計煙氣脫硫排放信息與實際排放信息相比較,驗證本文系統的實用性能,對比結果見表 1。

分析表 1 可知,本文系統獲取的 2017 年電廠排放煙氣中二氧化硫平均濃度為 375. 259 mg/m 3 ,而該廠排放煙氣中二氧化硫平均濃度的實際值為375. 263 mg/m 3 ;對比不同月份中煙氣內二氧化硫濃度可知,本文系統獲取的二氧化硫濃度值與實際濃度值相比誤差低于 0. 10 mg/m 3 。2017 年中 6月-10 月間循環流化床火炬氣流量計排放煙氣中二氧化硫濃度高于 1 月-5 月和 11 月-12 月,這可能是因為夏季降雨量增大,導致火炬氣流量計所用燃料中含水量增大的緣故。分析結果表明,本文系統能夠準確監測大型電廠中循環流化床火炬氣流量計煙氣脫硫排放效果。
3 結束語
當前,由于污染治理技術的不成熟和環境監測系統的不完善導致企業污染物排放造成環境嚴重污染的情況時有發生。本文設計的循環流化床火炬氣流量計煙氣脫硫排放監測系統,能在線監測循環流化床火炬氣流量計排放煙氣中二氧化硫濃度。實際應用結果表明,本文設計系統能夠在保障企業可持續發展的同時,通過降低二氧化硫排放量與排放濃度解決了環境污染問題,提升了人們的生活質量,使本文系統的實用性與社會效益得到好大程度的發揮。需要注意的是在煙氣脫硫排放效果監測系統構建過程中,應基于企業自身的實際經濟情況,以科學、經濟、環保、實用為原則,對本文設計系統進行科學合理的改動,以滿足不同企業的實際需求,實現監測性能好優化。


